In Memory of Chen-Ning Yang

1922 – 2025
By Zitong Yang · October 18th, 2025

The passing of Professor Chen-Ning Yang has left me with an inexplicable sense of loss, a feeling that a familiar era is slowly coming to an end. When Kolmogorov passed away in 1987, Kiyosi Itô wrote in his eulogy, "When I learned that the great Soviet mathematician Kolmogorov had left this world, I felt a sadness and loneliness as if I had lost a pillar of support." My relationship with Professor Yang was certainly not as direct as Itô's with Kolmogorov, but his influence, transmitted through his books, articles, and recorded lectures, profoundly changed the course of my life.

When I first came to the U.S., I would often introduce myself in the physics department by saying, "Yang from Yang-Mills." Later, when I was struggling to choose between physics and mathematics, I came across an interview with Yang and Jim Simons where he said two things that stuck with me: "Mathematics is precise, but there is no flesh to it," and "There are two kinds of books in math. The first one you read the first page and you stop reading. The second one that you read the first sentence and stop reading." Those words resonated with me so deeply that I decisively gave up on mathematics. This choice filled my university life with many more interesting physics pictures, making it much more vivid.

Later, as I contemplated my future path, I read online about Yang's famous advice against going into particle physics ("the party is over"). He remarked, "When I compare people who entered graduate school in the same year, I find that they all started in more or less the same state, but their developments ten years later were vastly different. This wasn't because some were smarter or more diligent than others, but because some had entered fields with growth potential, while others had entered fields that were already in decline, or even at their very end." This deeply struck me. Indeed, gauge theory is a more vital direction than particle physics because it naturally builds connections with many different disciplines. Inspired by this, I began to seriously ask myself: what is the "gauge theory" of our time? That's what led me to start researching neural networks in my junior year.

As I gained more experience in research, I found numerous inspirations in Yang's annotated collection, "Sixty Years of My Career Path." Right now, this book is on my bedside table. What resonated with me most was his note on his paper about the two-dimensional Ising Model:

"In the spring of 1951, Oppenheimer showed me a preprint he had just received. For this, I carried out a very long calculation, the longest of my life. The calculation was tortuous, full of obstacles at every turn, requiring many strategies and tricks to solve. Often, after days of intense thought, I would suddenly discover a new technique, a new path would appear. The trouble was that I would soon feel lost in a maze again, unable to be sure if I was any closer to the goal than when I started."

Yang's description here was so relatable that later, whenever my research stalled, I would share this quote with my collaborators to encourage everyone. I often found myself translating this passage into English for them.

As I spent more time living in the United States, I inevitably encountered some prejudice and discrimination against Chinese people. This reminded me of a story I had read about Yang from 1954. By then, he had already secured a tenured position at Princeton and was only three years away from winning the Nobel Prize. Yet, a real estate agent refused to sell him a house simply because he was Chinese, fearing that his presence would lower property values in the area. Even a man of Yang's stature could not escape such baseless and absurd prejudice. Later, while working at Google's New York office, I made a memorable trip to Long Island to visit the area where he used to live. This brought to mind his speech at the Nobel banquet in 1957:

"I am in more than one sense a product of both the Chinese and Western cultures, in harmony and in conflict. I should like to say that I am as proud of my Chinese heritage and background as I am devoted to modern science, a part of human civilization of Western origin."

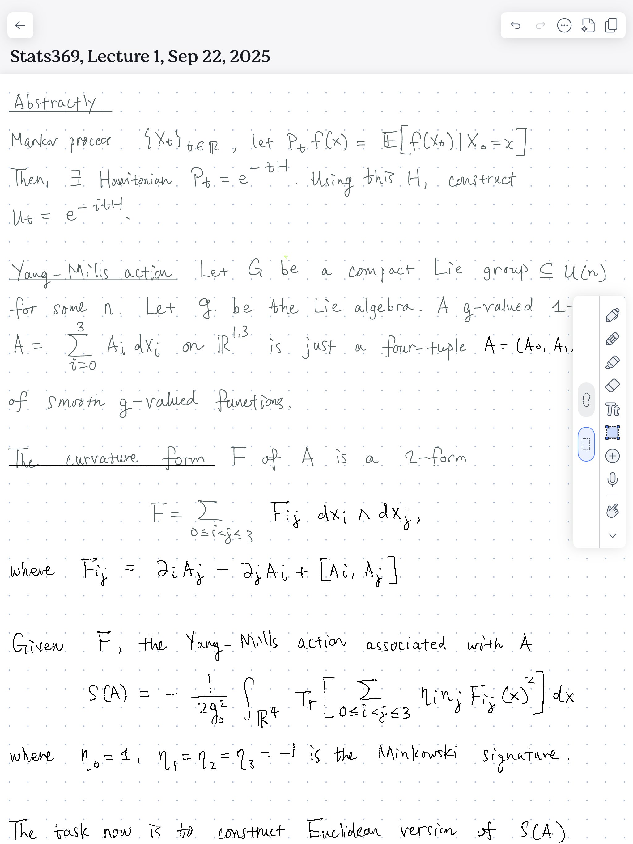
And now, life has come full circle. This semester, I've begun studying the derivation of the mass gap in three-dimensional Euclidean Yang-Mills theory to fulfill my last graduation requirement. A familiar and friendly intuition returns. Although Professor Yang has passed away, his work, his ideas, and his intuition have been distilled across the entire internet. I randomly sampled 10B tokens from the DCLM dataset and found 1392 documents containing variations of his name in English and Chinese. His thoughts have genuinely become a part of humanity's collective knowledge.

Finally, in his outlook on physics, Yang cautioned against the optimism that "the power of human intellect is infinite, while the depth of natural phenomena is finite". In this unique era of artificial intelligence development, this sixty-year-old debate seems particularly interesting.